Widerruf Lebensversicherungen


  • Hallo Herr Gamper,

    haben Sie ganz herzlichen Dank für Ihre Antwort und bitte entschuldigen Sie die späte Rückmeldung; ich hatte nicht bemerkt, dass mein Post in diesen Thread verschoben wurde.

    Zur Ihrer Antwort: Der Arbeitgeber hat diese Versicherung nicht automatisch abgeschlossen, sondern ich musste sie konkret beantragen (und auch bezahlen). Wahrscheinlich kann man es mit einem "Rahmenvertrag" vergleichen, aus dem ich einen Vertrag abgerufen habe, auch wenn ich hier kein Jurist bin. In diesem Antrag (der mir über einen Vermittler vorgelegt wurde) war auch die Widerrufsbelehrung falsch.

    Ändern diese Umstände etwas an Ihrer Einschätzung?

    Viele Grüße

  • Hallo tommi739,

    danke für das Nachfassen.

    Ich hole etwas weiter aus, da der Thread ja hierher verschoben wurde. Ich war mir eigentlich fast sicher, dass es bei der Versicherung um eine klassische Direktversicherung im Zusammenhang mit der betrieblichen Altersvorsorge (baV) handelt. Der Arbeitgeber wäre dann bei dieser Form der Direktversicherung der Versicherungsnehmer und (alleinige) Beitragszahler.

    Sie stellen jedoch richtig, dass Sie entweder gemeinsam mit dem Arbeitgeber Beiträge leisten oder die gesamten Beiträge (im Rahmen der Entgeltumwandlung) übernehmen.

    Könnten Sie diesen Punkt bitte präzisieren, da ich dann genauer den wirtschaftlichen Vorteil eines Widerspruchs für den Arbeitgeber/Arbeitnehmer beschreiben kann?

    Dann könnte ich auch eine Brücke bauen, warum auch Arbeitgeber Interesse am Widerspruch haben sollten.

    An meiner Einschätzung ändert sich, auch bei Kenntnis der neuen Informationen, sehr wahrscheinlich jedoch leider nichts.

    Das Widerspruchsrecht gemäß §5a VVG alte Fassung hat alleine Ihr Arbeitgeber. Das ist "technisch" und rechtlich auch kein Problem, denn §5a VVG alte Fassung gilt auch für Nicht-Verbraucher.

  • Ich war mir eigentlich fast sicher, dass es bei der Versicherung um eine klassische Direktversicherung im Zusammenhang mit der betrieblichen Altersvorsorge (baV) handelt. Der Arbeitgeber wäre dann bei dieser Form der Direktversicherung der Versicherungsnehmer und (alleinige) Beitragszahler.


    Sie stellen jedoch richtig, dass Sie entweder gemeinsam mit dem Arbeitgeber Beiträge leisten oder die gesamten Beiträge (im Rahmen der Entgeltumwandlung) übernehmen.

    Könnten Sie diesen Punkt bitte präzisieren, da ich dann genauer den wirtschaftlichen Vorteil eines Widerspruchs für den Arbeitgeber/Arbeitnehmer beschreiben kann?


    Hallo Herr Gamper,

    ich leiste alle Beiträge im Rahmen einer Entgeltumwandlung (bzw. habe sie bis zur Beitragsfreistellung geleistet). Einen Zuschuss des Arbeitsgebers gibt es nicht. Bis zur Beitragsfreistellung haben sich rund 10.000 EUR an eingezahlten Beiträgen angesammelt.

    Viele Grüße
    tommi739

  • Hallo tommi739,

    herzlichen Dank für die zusätzliche Information.

    RA Johannes Fiala aus München hat in einem Fachartikel fast alle Fragen zu dem Thema beantwortet.

    Daher verweise ich auf seinen Artikel (siehe folgende Verlinkung):

    http://www.fondsprofessionell.de/news/steuer-re…/1024458/ref/1/

    Der Artikel ist recht anspruchsvoll geschrieben. Daher hier die für Sie wichtigen Informationen in verständlicher Sprache zusammengefasst:
    # Das Widerspruchsrecht liegt beim Arbeitgeber.
    # Der Arbeitgeber kann gemäß § 5a VVG a.F. widersprechen, weil § 5a VVG a.F. auch für Nicht-Verbraucher gilt.
    # Es kann praktisch alle vorhandenen bAV-Lebensversicherungen widersprochen werden.
    # Mit dem Widerspruch wird allen sonstigen Vereinbarungen der Boden entzogen.
    # Der Arbeitgeber erhält als Versicherungsnehmer die Geldflüsse aus der bereicherungsrechtlichen Rückabwicklung.
    # Der Arbeitnehmer hat im Falle der Entgeltumwandlung regelmäßig Anspruch auf die Erstattung der geleisteten Beiträge.
    # Ggf. steht ihm darüber hinaus ein Schadensersatzanspruch gegenüber dem Arbeitgeber zu.
    # Die Leistung des Versicherers im Rahmen der bereicherungsrechtlichen Rückabwicklung an den Arbeitgeber sollte höher ausfallen, als das, was der Arbeitgeber dem Arbeitnehmer zu erstatten hat.

    Daher ist die Abstimmung mit dem Arbeitgeber nicht nur in formeller Hinsicht wichtig. Es sollte berechnet werden, wer welche Vor- und Nachteile hat. Dann könnte man über eine Vollmachtkonstruktion nachdenken oder den Arbeitgeber dazu bewegen, gegenüber dem Versicherer zu widersprechen

    Insofern bleibe ich bei meiner Empfehlung: Sprechen Sie mit dem Arbeitgeber und „testen Sie dort grundsätzlich das Wasser“. Sollte der Arbeitgeber weitergehende Informationen und Berechnungen verlangen, nehmen Sie einen spezialisierten Versicherungsberater gemäß §34e der Gewerbeordnung oder einen Fachanwalt für Versicherungsrecht mit ins Boot. Danach sollte feststehen, was es Ihnen und den Arbeitgeber an Nutzen bringt zu widersprechen. Ich vermute auch, dass die grundsätzlichen Beispielrechnungen und die Nennung der Vor- und Nachteile in Wege einer ersten Beratung erfolgen könnten. Die darf nicht mehr als 190,-- € (ggf. zuzüglich 19% Umsatzsteuer) kosten. Das sollten Sie aber vorher mit dem spezialisierten Versicherungsberater oder Fachanwalt für Versicherungsrecht abstimmen.

  • Hallo Herr Gamper,

    vielen Dank für diese erneute fundierte Auskunft! Ein Detail habe ich noch vergessen: Die fehlerhafte Widerufsbelehrung ist Bestandteil des Antragsformulars, das der Versicherungsvermittler ausgestellt hat. Es handelt sich also nicht um einen Antrag bei der Gothaer Versicherung. Auf die Rollen Versicherungsnehmer/Begünstigte Person hat das keine Auswirkungen, aber ggf. auf die Widerrufsmöglichkeiten entsprechend Ihrer Empfehlung?

    Viele Grüße
    tommi739

  • Hallo tommi739,

    herzlichen Dank für den zusätzlich Hinweis im Hinblick auf das Antragsformular. Haben Sie die Möglichkeit das Antragsformular hier in der Community zu veröffentlichen (Anhang, Bild usw.)? Natürlich sollten Sie vorher die persönlichen Daten unkenntlich machen oder schwärzen. Dann kann ich mehr zu dem Antragsformular und dem neuen Sachverhalt sagen.

  • Unterschied zwischen Widerspruch gemäß §5a VVG a.F. ("Policenmodell") und Widerruf gemäß §8 VVG in der Fassung vom 01.01.1991 bis 28.07.1994 ("Antragsmodell")

    Selbst vielen Experten ist der Unterschied nicht ganz klar. Daher hier einige Erläuterungen zum Widerruf gemäß §8 VVG in der Fassung vom 01.01.1991 bis 28.07.1994 ("Antragsmodell"):

    Auch für (fondsgebundene) Lebens- und Rentenversicherungen, die ab 1991 abgeschlossen wurden, kommen Widerrufsmöglichkeiten in Betracht, sofern keine ordnungsgemäße Widerrufsbelehrung erfolgt ist. Einschlägig ist in diesen Fällen § 8 Abs. 4 VVG in der vom 1. Januar 1991 bis zum 28. Juli 1994 gültigen Fassung (alte Fassung).


    § 8 Versicherungsvertragsgesetz („VVG“) alter Fassung („a.F.“) erfasste alle nicht nach dem Policenmodell geschlossenen Versicherungsverträge und regelte die insoweit bestehenden Lösungsrechte des Versicherungsnehmers das Recht zum Rücktritt von Lebensversicherungsverträgen (§ 8 Abs. 5 VVG a.F.) und das Recht zum Widerruf sonstiger Versicherungsverträge (§ 8 Abs. 4 VVG a.F.). Für alle diese Verträge sah § 8 VVG a.F. vor, dass das jeweilige Lösungsrecht eines nicht ordnungsgemäß darüber belehrten Versicherungsnehmers einen Monat nach Zahlung der ersten Prämie erlöschen sollte.


    Welche Verträge betrifft es?

    Alle zwischen dem 01.01.1991 und dem 28.04.1994 abgeschlossenen Lebens- und Rentenversicherungsverträge.

    Grundlage für den Widerruf: Den für den vorgenannten Zeitraum anwendbaren § 8 Abs. 4 VVG (in der vom 01.01.1991 bis zum 28.07.1994 gültigen Fassung).


    Rechtsprechung des Bundesgerichtshofes vom 16.10.2013 (Az. IV ZR 52/12):

    # Sachverhalt (Tatbestand)

    Lebensversicherungsvertrag. Abschluss beantragt im März 1993 mit Wirkung ab April 1993. Antragsmodell. Widerrufsbelehrung nicht ordnungsgemäß. Versicherungsnehmer zahlte sieben Jahre Prämien, kündigte dann im Februar 2000 und erhielt den Rückkaufwert ausbezahlt. Zehn Jahre später widersprach er den Vertrag auf Grundlage von §5a VVG a.F.


    # Entscheidung und Entscheidungsgründe

    1.In dem Widerspruch gemäß §5a VVG a.F. liegt kein wirksamer Widerruf nach §8 Abs. 4 VVG in der vom 01.01.1991 bis zum 28.07.1994 gültigen Fassung vor.

    2.Widerrufsfrist war im Februar 2010 noch nicht abgelaufen.

    3.Versicherungsnehmer wurde nicht ordnungsgemäß über den Widerruf belehrt.

    4.Der Beginn der Widerrufsfrist ist an eine ordnungsgemäße Widerrufsbelehrung geknüpft.

    5.Das Widerrufsrecht ist trotzdem erloschen, da eine beiderseits vollständige Erbringung der Leistung erfolgte.

    6.Eine Kündigung des Versicherungsvertrages schließt einen späteren Widerruf jedoch nicht aus.


    Eigene Einschätzung (als Fazit zusammengefasst):

    Der Versicherungsnehmer wurde nicht ordnungsgemäß über seinen Widerruf belehrt. Hätte er nicht gekündigt und wäre der Vertrag nicht durch die Auskehrung des Rückkaufwertes (und damit seine Abrechnung) abgewickelt worden, so hätte der Versicherungsnehmer noch in 2010 gemäß §8 VVG in der vom 01.01.1991 bis zum 28.07.1994 gültigen Fassung dem Vertrag widerrufen können. Dies bedeutet, dass alle aus diesem Zeitraum (01.01.1994 bis 28.07.1994) noch laufenden Verträge aktuell noch widerrufen werden können, wenn der/die Versicherungsnehmer(in) nicht ordnungsgemäß über den Widerruf belehrt worden ist. Dies ist in jedem Einzelfall zu prüfen.

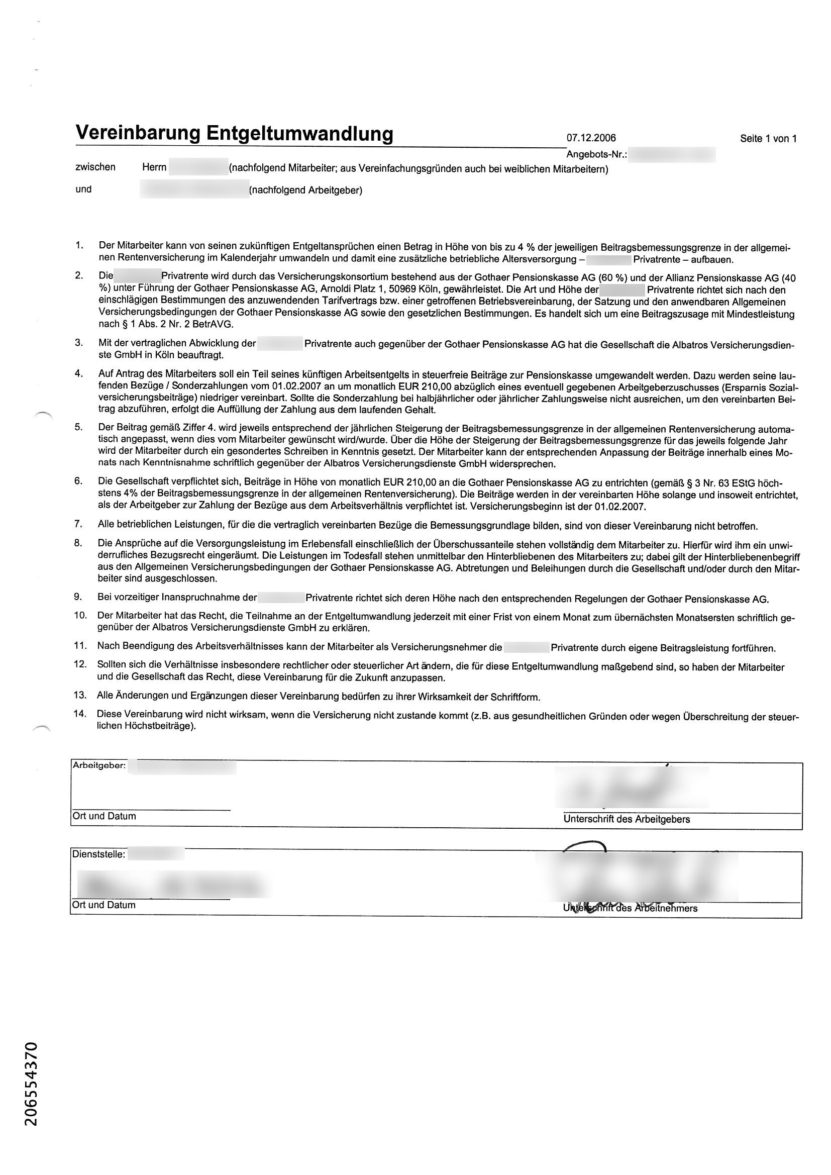
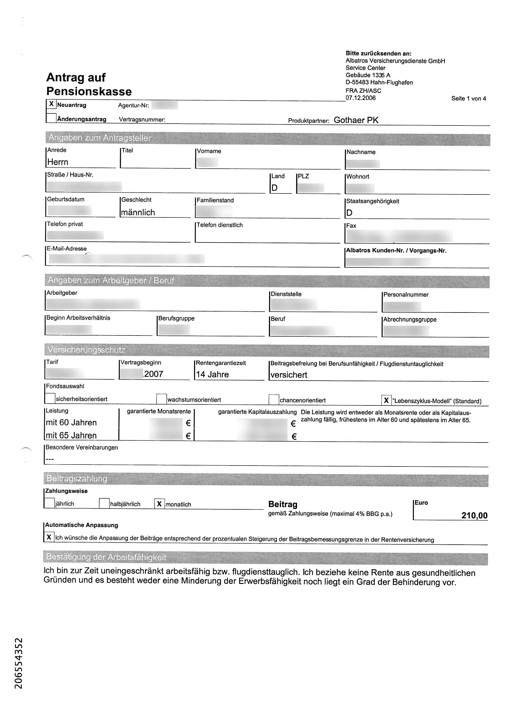
  • herzlichen Dank für den zusätzlich Hinweis im Hinblick auf das Antragsformular. Haben Sie die Möglichkeit das Antragsformular hier in der Community zu veröffentlichen (Anhang, Bild usw.)? Natürlich sollten Sie vorher die persönlichen Daten unkenntlich machen oder schwärzen. Dann kann ich mehr zu dem Antragsformular und dem neuen Sachverhalt sagen.


    Hallo Herr Gamper,

    ich habe Ihnen das Antragsformular beigefügt und die persönlichen Daten verschleiert. Die Widerrufsbelehrung ist auf Seite 2.

    Viele Grüße

  • Hallo tommi739,

    herzlichen Dank für die Veröffentlichung der Unterlagen hier unter diesem Thread. Das war hilfreich.

    Es handelt sich auf Basis der Dokumente um einen Neuantrag zum „Beitritt“ zu zwei Gothaer Pensionskassen. Das macht die Sache leider noch komplizierter.

    Grund ist, dass es in Bezug auf das Widerspruchs- bzw. Widerrufsrecht einige Einschränkungen gibt: Dazu gehören zum Beispiel Verträge, die sofortigen Versicherungsschutz bieten, Policen mit einer Laufzeit von weniger als einem Monat sowie Verträge über Pensionskassen, sofern sie auf arbeitsvertraglichen Regelungen beruhen.

    Allerdings: Auch für diese Verträge gilt das das Widerspruchs- und Widerrufsrecht, wenn sie im so genannten Fernabsatz (z.B. via Internet) abgeschlossen worden sind. Hierzu einige Informationen auf unter:

    http://www.fernabsatz-gesetz.de/Widerrufsrecht…satzvertrag.htm

    Die erste Hürde wäre demnach in der Prüfung, ob es sich um einen sogenannten Fernabsatzvertrag gehandelt hatte.
    In diesem Zusammenhang ist es schon einigermaßen seltsam, dass die Albatros Versicherungsdienste GmbH oder die Gothaer Pensionskasse ein Widerrufsrecht im Antragsformular hereinformuliert haben. Hier wäre zu prüfen, ob es sich um ein Antragsformular der Gothaer Pensionskasse handelt oder um Antragsformular des bAV-Berater / Maklers.
    Die Widerrufsbelehrung ist über das Antragsformular definitiv nicht ordnungsgemäß erfolgt. Ggf. erfolgte jedoch eine ordnungsgemäße Belehrung zu einem späteren Zeitpunkt (z.B. Nachbelehrung).


    Trotzdem gilt leider das zuvor Geschriebene: Das Widerspruchsrecht liegt beim Arbeitgeber. Der Arbeitgeber kann gemäß § 5a VVG a.F. widersprechen, weil § 5a VVG a.F. auch für Nicht-Verbraucher gilt.

    Es macht in Ihrem Fall wahrscheinlich Sinn, sich auch mit anderen Handlungsoptionen hinsichtlich der Pensionskasse(n) zu beschäftigen:
    # Sie könnten beispielsweise die Beiträge reduzieren. Bei einer Reduzierung der Beiträge ist lediglich ein Mindestbeitrag einzuhalten.
    # Manchmal ist auch eine befristete Beitragsfreistellung möglich.
    # Weitere Handlungsoptionen sind denkbar.

    Wichtig wäre aber aus meiner Sicht einen Berater mit ins Boot zu holen, der gemeinsam mit Ihnen die Handlungsoptionen diskutiert, Vor- und Nachteile offenlegt und Sie bei der Entscheidungsfindung unterstützt. Der Berater ist auch verpflichtet, Sie nach den Wünschen und Bedürfnissen zu fragen und sollte idealerweise mit Ihnen Ziele vereinbaren.

  • Hallo Herr Gamper,

    vielen Dank für diese Auskunft. Ich habe den Vertrag bereits vor einiger Zeit beitragsfrei gestellt, an die bereits gezahlten Beiträge komme ich jedoch vor meinem Renteneintritt bzw. vor dem Fälligkeitsdatum offenbar nicht heran.

    Ich werde meinen Arbeitgeber diesbezüglich kontaktieren, mache mir allerdings nicht zu viele Hoffnungen ... :-/

    Trotzdem ganz herzlichen Dank für Ihre detaillierte Einsichtnahme!

    Viele Grüße

  • Hallo zusammen, ich habe leider nicht mehr die Originalunterlagen meiner Lebensversicherung, nur die Dynamiknachträge der letzten Jahre. Jetzt habe ich die Police angefordert und auch ein Duplikat erhalten. Allerdings nur eine Seite ohne AGB, Antrag und weitere Bedingungen. Kann ich diese Unterlagen einfordern oder kann ich nicht mehr überprüfen (lassen), ob ich widerrufen könnte?

  • Hallo Peter82,

    die Informations- und Unterlagenbeschaffung bei Versicherern bedarf leider einer gewissen Hartnäckigkeit und taktischen Vorgehensweise.

    Wenn der Versicherer Wind von der Prüfung im Hinblick auf den Widerspruch / Widerruf / Rücktritt bekommt, wird er in den meisten Fällen dazu neigen, Unterlagen nicht herauszugeben oder die Herausgabe zu verzögern.
    Wenn ein Versicherungsberater sich an einen Versicherer wendet, ist diesem immer klar, dass dieser etwas prüft, bleibt aber im Ungewissen darüber, was. Der Versicherer weiß auch, dass ein Versicherungsberater in der Regel ein „professioneller“ Informations- und Unterlagenbeschaffer ist und versucht daher erst gar nicht, die angeforderten Unterlagen zurückzuhalten.

    Mein Ratschlag lautet daher:
    Wenden Sie sich nochmals schriftlich an den Versicherer und fordern Sie ausdrücklich die AGB, den Antrag und die Bedingungswerke an. Nennen Sie keine Gründe und setzen Sie eine angemessene Frist (3 bis 4 Wochen ab Zugang des Schreibens) für die Unterlagenbereitstellung. Bieten Sie die Kostenübernahme für die Kopier- und Versandkosten bis zu einem Betrag in Höhe von maximal 30,-- € an. Versenden Sie das Schreiben per Brief und per Fax. Fassen Sie nach zirka 2 Wochen wieder schriftlich (oder telefonisch) nach. Fassen Sie ein zweites Mal zirka 3 Tage vor Fristablauf nach. Verweisen Sie darauf, dass Sie den Versicherungsombudsmann einschalten, wenn die Unterlagen nicht innerhalb der Frist geliefert werden.

    Sollte der Versicherer dann nicht reagieren oder auf Zeit spielen, macht es Sinn, einen Versicherungsberater nach §34e der Gewerbeordnung oder einen Fachanwalt für Versicherungsrecht einzuschalten.

    Sollte Ihnen das zu aufwändig erscheinen, können Sie natürlich sofort einen Versicherungsberater nach §34e der Gewerbeordnung oder einen Fachanwalt für Versicherungsrecht mit der Unterlagenbeschaffung beauftragen.

  • Hallo,
    ich habe im September 2005 bei der Allianz (Frankfurter Versicherungs-Aktiengesellschaft) eine Unfallversicherung mit Beitragsrückzahlung (Rentenzahlung nach Ablauf der Ansparphase) abgeschlossen. Der Vertrag wurde vor einiger Zeit gekündigt und der Rückkaufswert ausgezahlt.

    In den Bestimmungen zum Versicherungsvertrag steht in der eingerahmten Widerrufsbelehrung, dass der Vertrag innerhalt von 14 Tagen nach Eingang der Unterlagen gekündigt werden kann.

    Gilt hier nicht die Widerrufsfrist von 30 Tagen? Ist die Widerrufsbelehrung wegen falscher Widerrufsfrist fehlerhaft?

    Anlass für die Annahme ist folgende Passage im Ratgeber "Widerspruchsrecht bei Lebensversicherungen":
    "In der Widerspruchsbelehrung steht nicht, dass es ausreicht, den Widerspruch innerhalb der
    30-Tage-Frist (14 Tage bei Verträgen mit Abschlussdatum vor dem 8. Dezember 2004) abzusenden. Der
    Widerspruch muss nämlich nicht innerhalb der Frist beim Versicherer eingehen, sondern nur rechtzeitig
    abgesendet werden."

    Mit freundlichen Grüßen
    kurby

  • Hallo kurby85,


    privaten Unfallversicherungsverträgen können vergleichbar wie Lebens- und Rentenversicherungen widersprochen (siehe VVG alter Fassung.) werden.


    § 5a VVG a. F. (d.h. in der Fassung aufgrund des Gesetzes zur Änderung der Vorschriften über Fernabsatzverträge bei Finanzdienstleistungen vom 02.12.2004 (BGBl. I S. 3102), in Kraft getreten am 08.12.2004) lautete:


    „(1) Hat der Versicherer dem Versicherungsnehmer bei Antragstellung die Versicherungsbedingungen nicht übergeben oder eine Verbraucherinformation nach § 10a des Versicherungsaufsichtsgesetzes unterlassen, so gilt der Vertrag auf der Grundlage des Versicherungsscheins, der Versicherungsbedingungen und der weiteren für den Vertragsinhalt maßgeblichen Verbraucherinformation als abgeschlossen, wenn der Versicherungsnehmer nicht innerhalb von vierzehn Tagen nach Überlassung der Unterlagen in Textform widerspricht. Bei Lebensversicherungsverträgen beträgt die Frist 30 Tage. Satz 1 ist nicht auf Versicherungsverträge bei Pensionskassen anzuwenden, die auf arbeitsvertraglichen Regelungen beruhen. § 5 bleibt unberührt.

    (2) Der Lauf der Frist beginnt erst, wenn dem Versicherungsnehmer der Versicherungsschein und die Unterlagen nach Absatz 1 vollständig vorliegen und der Versicherungsnehmer bei Aushändigung des Versicherungsscheins schriftlich, in drucktechnisch deutlicher Form über das Widerspruchsrecht, den Fristbeginn und die Dauer belehrt worden ist. Der Nachweis über den Zugang der Unterlagen obliegt dem Versicherer. Zur Wahrung der Frist genügt die rechtzeitige Absendung des Widerspruchs. Abweichend von Satz 1 erlischt das Recht zum Widerspruch jedoch ein Jahr nach Zahlung der ersten Prämie.

    (3) Gewährt der Versicherer auf besonderen Antrag des Versicherungsnehmers sofortigen Versicherungsschutz, so kann der Verzicht auf Überlassung der Versicherungsbedingungen und der Verbraucherinformation bei Vertragsschluß vereinbart werden. Die Unterlagen sind dem Versicherungsnehmer auf Anforderung, spätestens mit dem Versicherungsschein zu überlassen. Wenn der Versicherungsvertrag sofortigen Versicherungsschutz gewährt, hat der Versicherungsnehmer insoweit kein Widerspruchsrecht nach Absatz 1. (Hervorhebung durch mich)“


    Die vorliegende Belehrung ist daher nicht aufgrund der genannten Frist von 14 Tagen fehlerhaft. Die Frist entsprach vielmehr dem Gesetzstand im September 2015.


    Bei der von Ihnen genannten privaten Unfallversicherung handelt es sich wahrscheinlich um eine „Unfallversicherung mit garantierter Beitragsrückzahlung (UBR)“, auch bekannt als Unfallversicherung mit Prämienrückgewähr (UPR)“. Die Produkte wurden von Vermittlern oftmals mit der Aussage beworben: „Am Ende der Laufzeit erhalten Sie Ihre Beiträge (ohne Teilzahlungszuschläge und Versicherungssteuer) garantiert zurück. Und eine Überschussbeteiligung kommt noch obendrauf.“


    In Wirklichkeit kaufte der Versicherungsnehmer mit diesen Produkten eine Kombination aus Risikoschutz und Kapitallebensversicherung. Den Risikoschutz der Unfallversicherung gibt es natürlich nicht geschenkt.


    Es lohnt sich daher den Vertrag (inkl. Begleitschreiben, Versicherungsbedingungen, Verbraucherinformationen usw.) insgesamt auf eine Widerspruchsmöglichkeit zu prüfen. Das macht die Verbraucherzentrale für einen Vergütung in Höhe von 70,-- € (pro Anliegen und Vertrag). Versicherungsberater und Erlaubnisinhaber nach §34e der Gewerbeordnung bieten ebenfalls solche Vertragsprüfungen an (ich selber rechne eine ähnlich hohe Pauschalvergütung wie die Verbraucherzentrale pro Vertrag ab; bei anderen Versicherungsberatern müsste man konkret nachfragen). Das gleiche gilt grundsätzlich für Fachanwälte für Versicherungsrecht (Finanztip hat hier eine Empfehlungsliste in dem Ratgeber veröffentlicht). Hier muss man nachfragen, welche Prüfungspauschale bzw. Vergütung konkret begehrt bzw. abgerechnet werden soll.


    In wirtschaftlicher Hinsicht gelten aber auch hier die von mir im Thread „BU-Versicherung jetzt noch widerrufbar?“ gemachten Hinweise.

  • Hallo Community,

    ich werde oft gefragt, wo sich die Widerspruchsbelehrungen in den Versicherungsunterlagen denn tatsächlich zu finden sind. Der Widerspruch nach §5a VVG a.F. betrifft ja ausschließlich das sogenannte Policenmodell.

    Zur Erinnerung: Das Policenmodell war eine Verfahrensvariante beim Abschluss eines Versicherungsvertrags, die im Zuge der VVG-Reform unzulässig wurde. Nach dem Policenmodell übermittelte das Versicherungsunternehmen dem Versicherungsnehmer die Verbraucherinformationen über die für das Versicherungsverhältnis maßgebenden Rechte und Pflichten einschließlich der Allgemeinen Versicherungsbedingungen (AVB) erst zusammen mit der Versicherungspolice (synonym: Versicherungsschein). Sodann galt der Versicherungsvertrag nach Maßgabe der Police, der AVB und der Verbraucherinformationen als wirksam abgeschlossen, wenn der Versicherungsnehmer nicht innerhalb von 14 / 30 Tagen schriftlich (ab 01.08.2001 in Textform) widersprach. Die Aushändigung der AVB sowie der Verbraucherinformationen erfolgte beim Policenmodell also zeitgleich mit der Policenübermittlung. Das „Unterlagenpaket“ wurde in allen mir bekannten Fällen mit einem Policenbegleitschreiben versandt.

    Genau dieses Policenbegleitschreiben ist für die Prüfung einer Widerspruchsmöglichkeit oftmals das relevante Dokument.

    In den mir vorliegenden und bekannten Fällen, befinden sich die Widerspruchsbelehrungen nämlich zu 58,3% im Policenbegleitschreiben (oder Anschreiben zur Übersendung der Police), zu 16,7% in der Police selber, zu 12,5% in den Verbraucherinformationen und zu 8,3% im Antrag (Datenerhebung nicht repräsentativ, Doppelzählungen durch mehrfache Belehrungen möglich).

  • Hallo Community,


    per Stand 17.10.2014 waren zirka 180 Revisionsverfahren beim IV. Senat („Versicherungssenat“) des Bundesgerichtshofes zu § 5 a VVG a.F. („Widerspruch“) anhängig (Quelle: Marion Harsdorf-Gebhardt, Richterin am Bundesgerichtshof).


    Aus meiner Urteilsdatenbank zu § 5a VVG a.F. habe ich eine Stichprobe von 52 Urteile des Bundesgerichtshofes zwischen dem 17.10.14 und dem 27.04.2016 in Bezug auf § 5a VVG a.F. genommen, um die Frage zu beantworten , wer denn die Prozesse (Klageverfahren) gewonnen oder verloren hatte.


    Zu meiner Überraschung, konnten nur 49% der Versicherungsnehmer mit ihren Klagen beim Bundesgerichtshof durchdringen, d.h. nur 49% der Versicherungsnehmer haben „ihr“ Klageverfahren gewonnen. 51% der Versicherungsnehmer konnten jedoch mit ihren Klageverfahren beim Bundesgerichtshof nicht durchdringen, d.h. sie konnten in den Verfahren nicht gegen die Versicherer obsiegen und mussten daher sämtliche Verfahrenskosten tragen.


    Das überrascht mich. Ich hatte damit gerechnet, dass die Wahrscheinlichkeit des Obsiegens (Prozessgewinn) deutlicher zu Gunsten der Versicherungsnehmer ausgefallen wäre.

    Daher macht es auch Sinn, dass die im Finanztip.de empfohlenen Rechtsanwaltskanzleien in der Regel angeben, mehr Vergleiche abgeschlossen als Klageverfahren gewonnen zu haben.


    Als Versicherungsberater stellt sich für mich natürlich überhaupt nicht die Frage eine Klage gegen den Versicherer einzureichen, denn ich bin nach dem Gesetz (§ 34 e der Gewerbeordnung) nur befugt meine Auftraggeber bei der Wahrnehmung von Ansprüchen aus dem Versicherungsvertrag rechtlich zu beraten und gegenüber dem Versicherungsunternehmen außergerichtlich zu vertreten.


    Es bleibt zu hoffen, dass die Fachanwälte und Fachanwältinnen für Versicherungsrecht und die auf den Widerspruch von Lebensversicherungsverträgen spezialisierten Kanzleien auch die wirtschaftlichen Folgen des Widerspruchs und letztendlich auch des Vergleichs ihren Mandanten nahebringen (im Sinne von berechnen und besprechen) und insofern die betroffenen Versicherungsnehmer auf dieser Grundlage eine informierte Entscheidung treffen können.

  • Alles schön und gut, aber was passiert eigentlich mit den Steuervorteilen, die man in den rückwirkenden Jahren beispielsweise bei einer Rürup-Rentenversicherung zur Teilfinanzierung der Prämien erhalten hat. Werden diese nicht gegengerechnet, d.h. wird das Finanzamt nicht rückwirkend sämtliche betroffenen Steuerbescheide neu berechnen und mir den Differenzbetrag (zuzügl. 6 % Zinsen) in Rechnung stellen? Der Versicherer kann das ja nicht gegenrechnen, weil er nicht weiß, welche Steuervorteile ich hatte.

    Eine seriöse Rechnung müsste die Rückgewähr dieser Steuervorteile doch einschließen.

  • Hallo Stammbus,


    herzlichen Dank für diese Erweiterung des Threads mit einer doch vielschichtigen Fragestellung in Bezug auf den Widerspruch bzw. Widerruf von Rürup-Verträgen.


    Bisher hatten wir private Rentenversicherung bzw. fondsgebundene Lebens- oder Rentenversicherungen mit Zusatzversicherungen (Todesfall oder Berufsunfähigkeitsversicherung) thematisiert (z.B. JuliaM, Joe911 und Annsen).

    In den vorgenannten Fällen ist die steuerliche Rückabwicklung relativ simpel (mit Ausnahme der Sonderausgaben; dazu später). In den meisten Fällen hatten Versicherer nach erfolgtem Widerspruch oder Widerruf „nur“ die Rückkaufswerte an die Versicherungsnehmer ausgekehrt. Parallel dazu hatten die Versicherer bei der Auszahlung des Rückkaufswertes Kapitalertragssteuer und Solidaritätsabschlag einbehalten und an das Finanzamt abgeführt. In diesem Fall wird die Kapitalertragssteuer und der Solidaritätszuschlag einfach vom Rückzahlungsanspruch des Versicherungsnehmers (eingezahlte Prämien) abgezogen.


    Ein Beispiel (Vertragsverhältnis wandelte sich nach erfolgtem Widerspruch in ein Rückabwicklungsschuldverhältnis):

    1.Eingezahlte Prämien = 22.936,77 €

    2.abzüglich Wert Risikoschutz = 380,-- €

    3.abzüglich Aktienwert = 628,51 €

    4.abzüglich Kapitalertragssteuer = 538,83 €

    5.abzüglich Solidaritätszuschlag = 29,64 €

    6.abzüglich Rückkaufswert = 17.664,66 €

    7.= zusätzlicher Erstattungsbetrag: 3.695,13 €


    In einem Fall (Tommi739) wurde eine Direktversicherung im Zusammenhang mit der betrieblichen Altersvorsorge angesprochen. Die Frage nach steuerlichen Wirkungen stellte sich dort nicht.


    Bisher wurden hier weder Riester- noch Rürup-Verträge thematisiert. Rückabwicklungen im Zusammenhang mit dem Widerspruch bzw. Widerruf sollten stets finanzmathematisch berechnet und rechtlich sowie steuerlich geprüft werden.

    Bei einem Rürup-Vertrag, d.h. zertifizierte Verträge zur Altersvorsorge, ergeben sich tatsächlich zusätzliche Berechnungs- und Prüfungsnotwendigkeiten.


    Es werden sich außerhalb des Rückabwicklungsschuldverhältnisses (zwischen Versicherer und Versicherungsnehmer) nämlich zusätzliche steuerliche Wirkungen beim Widerspruch bzw. Widerruf ergeben.


    Zurück zu Ihrer Frage: Das steuerliche Thema darf meines Erachtens weder bei der rechtlichen Prüfung der Verträge und bei der Berechnung der wirtschaftlichen Folgen eines Widerrufs bzw. Widerspruchs durch einen Versicherungsberater nach §34 e der Gewerbeordnung oder Rechtsanwalt vernachlässigt werden.


    Es gilt:

    • Für geltend gemachte Nutzungszinsen (für alle Verträge!): Auf jeden Fall müssen die von der Versicherungsgesellschaft erstatteten Zinsen versteuert werden. Sie unterliegen der Abgeltungssteuer.
    • Für Riester- und Rürup-Verträge: Menschen mit Riester- oder Rürup-Policen drohen obendrein Rückzahlungen im Falle des Widerrufs bzw. Widerspruchs. Sie müssen die vom Staat erhaltenen Zulagen beziehungsweise Steuervergünstigungen zurückzahlen.
    • Für Lebensversicherungen: Das Gleiche gilt im Prinzip auch für im Rahmen der Sonderausgaben geltend gemachte Beiträge zur Lebensversicherung. Die Finanzämter rechnen den ehemaligen Steuervorteil Jahr für Jahr wieder raus. Doch das fällt im Endeffekt meistens jedoch nicht stark ins Gewicht, weil das steuerliche Limit meistens mit anderen Vorsorgeaufwendungen wieder aufgefüllt werden kann. Anders sieht die steuerliche Situation aus, wenn Beiträge statt im Rahmen der Sonderausgaben als Betriebsausgabe geltend gemacht wurden – etwa weil die Lebensversicherung zur Tilgung eines gewerblichen Kredits dienen sollte. Im Jahr der Erstattung sind die Beiträge in voller Höhe als Betriebseinnahme zu versteuern.


    Komplizierte steuerliche Fälle wie bei Riester- und Rürup-Verträgen oder bei Beiträgen als Betriebsausgaben usw. bearbeite ich nie ohne Einschaltung eines Steuerberaters bzw. einer Steuerberaterin.


    Daher sind viele im Markt angebotene Beratungs-, Prüfungs- und Berechnungsleistungen auch unvollständig, da – unter anderem – meistens der Steueraspekt des Widerspruchs- bzw. Widerrufs ausgeklammert wird.


    Also fragen Sie den Versicherungsberater oder den Rechtsanwalt, ob die von ihm angebotene „kostenlose“ Erstberatung auch eine Berechnung der wirtschaftlichen Folgen des Widerrufs inklusive der Steuerwirkungen beinhaltet. Spätestens dann realisieren die meisten Anfragenden, dass solche kostenlosen Beratungs- und Prüfungsangebote nicht zielführend sind, da sie gar nicht abschätzen können, was sie konkret zurückerhalten, welche Zulagen und Steuervergünstigen zurückzuzahlen sind und welches Risiko dagegensteht.


    Vielleicht kann RaphaelP als Steuerexperte hier noch etwas ergänzen?

  • Hallo HerrHubert,

    es wäre toll, wenn wir in diesem Thread wieder einmal einen interessanten Fall besprechen könnten!

    Beste Grüße

    Robert Gamper