welche Fonds in der Rentenversicherung?

  • Moin Leute,

    ich habe eine RV bei der Zurich mit ca. 30.000 Euro.

    Wovon ein Großteil im DWS Concept Kaldemorgen liegt.

    Mir hat jemand empfohlen die Anlage umzuschichten.

    Ich wollte euch daher kurz um euren Rat bezüglich folgender Verteilung bitten. Ich will auf die Fonds aus dem Bereich ESG/SRI zurück greifen, da ich gerne den Anteil kontroverser Beteiligungen klein halten möchte und daher überlege ich folgendes:

    Der Climate Tech scheint sehr volatil zu sein, daher nur 25%.

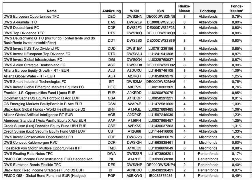
    ansonsten stünden noch diese Fonds zur Auswahl (nicht ESG):


    Macht der oben beschriebene Ansatz Sinn?? Ich muss ehrlich sagen, dass ich mich nicht sonderlich auskenne in der Materie... daher meine Rückfrage an euch.

    Bin für jeden Tip dankbar!

    Danke!

  • Hallo.

    Die Antwort auf die Frage ist nicht ganz so einfach. Er heißt "Schönheit liegt im Auge des Betrachters". Das gilt auch für diesen Vertrag.

    Die aktuellen und möglichen Fonds sind aktiv gemanagte Fonds. Das verspricht eine bessere Rendite. Grundsätzlich gilt:

    • Je länger die Laufzeit, desto effektiver wirken niedrige Vertragskosten.
    • Je länger die Laufzeit, desto höher könnte der Aktienanteil in den Fonds sein.

    Die Aufzählung lässt sich sicher noch erweitern. DWS beschreibt das Konzept Kaldemorgen auf der Homepage wie folgt:

    Anlagepolitik

    DWS Concept Kaldemorgen ist ein Multi-Asset-Fonds mit integriertem Risikomanagement. Durch die flexible Allokation von Aktien und Anleihen in Verbindung mit dem Einsatz von Währungs- und Absicherungsstrategien soll die risikoadjustierte Rendite langfristig maximiert werden. Das Fondsmanagement strebt eine angemessene Beteiligung an steigenden Märkten und einen gewissen Schutz des Kapitals bei fallenden Märkten an. Die Schwankungsbreite des Fondsanteilswertes und mögliche Verluste in einem Kalenderjahr sollen im einstelligen Prozentbereich gehalten werden (keine Garantie)

    Kurz gesagt: Es wird versucht möglichst viel Rendite zu erzeugen und geringe Verluste. Klingt gut, ist ein Konzept. Der Rest bleibt abzuwarten.

    Du hast die Fondskosten angegeben. Die TER-Quote wird unter anderem ohne Transaktionskosten, Performance Fees, etc. berechnet. Deshalb ist die tatsächliche Kostenstruktur ca. 1% - 2% höher.

    Dazu zahlst Du das Geld über die Zurich in die Fonds. Die Zurich berechnet Verwaltungskosten und Abschlusskosten. Die Abschlusskosten fallen auch für dynamische Erhöhungen und Zuzahlungen an.

    Insgesamt ergeben sich Fragen um weiter zu helfen:

    • Wie lange läuft der Vertrag schon?
    • Wie lange läuft der Vertrag noch?
    • Was ist Ziel des Vertrages (zB Altersvorsorge)?
    • Werden noch Beiträge/ Zuzahlungen geleistet?

    Faustformel: Beitrag - Kosten + Rendite = Gewinn.

  • Hallo Bjoern,

    danke für deinen Beitrag.

    ich will versuchen auf die Fragen zu antworten:

    Der Vertrag läuft seit Dez. 2004 alle Gewinne sind daher frei von Steuern. Das ist auch der Grund weshalb ich diese RV noch halte.

    Laufen soll die RV nach Möglichkeit bis zur Rente. Also noch ca. 30 Jahre. und ja, Ziel ist Altersvorsorge.

    Einzahlungen bzw. Beiträge werden keine mehr geleistet.

    Ein Umschichtung der Anlage (Fondswechsel) ist einmal im Jahr kostenfrei möglich. Es fallen dabei keine Gebühren an.

  • Danke für die Infos.

    Der Vertrag läuft noch ziemlich lange. Deswegen kann ein höhere Aktienquote sinnvoll sein. Damit hast Du zwar mehr Schwankungen in der Entwicklungen, aber auch mehr Performance-Möglichkeit.

    Insgesamt gefällt mir die Fondsauswahl der Zurich nicht wirklich gut. Die Fondsauswahl wirkt mir zu themenbezogen und ETF werden gar nicht angeboten.

    Bei 30 Jahren Restlaufzeit solltest du den Vertrag kritisch überdenken. Beispiel:

    • Zurich: 30.000 Euro Wert, vermutlich 2,5% Vertragskosten pro Jahr (Fondskosten + Versicherungsverwaltungskosten).
    • Alte Leipziger: 30.000 Euro Wert, vermutlich 0,5% Vertragskosten pro Jahr (ETF Fondskosten + Versicherungsverwaltungskosten).

    Diese 2,0% weniger Kosten haben über 30 Jahren einen irren Effekt. Zusätzlich unterstelle ich, dass die Fonds jeweils 6% Wertzuwachs in den 30 Jahren schaffen.

    • Zurich: Die Auszahlung wird steuerfrei ca. 81.623 Euro betragen.
    • Alte Leipziger: Die Auszahlung wird 148.407 Euro betragen.
      • Dieser Wert ist noch zu versteuern (50% vom Gewinn mit dem persönlichen Steuersatz 25%).
      • Formel: Einzahlung - Vertragswert = Gewinn. Davon 50% und dann noch mal 25%.
      • 133.606 Euro Auszahlung nach Steuer.

    Der Steuervorteil ist kein Grund bei der Zurich zu bleiben. Aber das sind meine Gedanken, wie ich es mir für mich wünschen würde. Deshalb stellt dieses Gedankenspiel keine Anlageberatung da.

  • Also ich habe mich genau zu dieser Frage bei einem unabhängigen Finanzberater (so wie das ja hier auch empfohlen wird) auf Honorarbasis beraten lassen. Er hat das alles durch gerechnet. Ich kann das hier nicht im Detail wieder geben, was mir noch im Kopf geblieben ist, ist dass die Versicherungskosten bei 1,5% liegen und die 0,5% Fondsverwaltungskosten zurück erstattet werden (warum auch immer?).

    Er hat das dann gegen eine Anlage in einen MSCI World ETF gerechnet und kam zu dem Schluss, dass es sich bei einer angenommen hohen Rendite mehr lohnen würde in den ETF zu gehen. Bei schlechterem Verlauf tendiert das Pendel Richtung RV.

    Ausschlaggebend für meine Entscheidung in der RV zu bleiben war/ist die Tatsache, dass ich hier die Sicherheit habe, dass keine Steuern abgezogen werden.

    Man weiß ja nicht, was in den 30 Jahren passiert. Vielleicht ist die Kapitalertragssteuer dann viel höher? oder irgend eine andere wird eingeführt?! Ist bei 30 Jahren ja nicht ganz unwahrscheinlich oder?

  • Wenn ich heute rund 30.000 in einen gescheiten ETF auf z.B. MSCI World packe und eine durchschnittliche Rendite von 7% erwarte (6% zum Vergleich in den eckigen Klammern), dann darf ich mit einem Depotwert von rund 228.000 rechnen!

    [bei 6% sind 'nur' ca. 172.000 zu erwarten]

    Wieviel von den anfallenden Gewinnen (Kursgewinnen und ggfs. Dividenden) während der 'Laufzeit' bereits im Rahmen von Steursparoptionen steuerfrei gehalten werden können, hängt vom Einzelfall ab (inwiefern die Steuerfreibeträge bereits andereitig genutzt werden).

    Würde man tatsächlich den Depotwert - was unsinnig und prxisfremd ist - zum 'Ablauf' versteuern, betrüge die Auszahlung rund 145.000 netto.

    Der eher clevere Anleger lässt den Großteil des Kapitals im Depot und entnimmt nur die 'Jahresrenten', die der Entnahmeplan vorsieht. Folglich werden nur die (noch nicht versteurten) Gewinne versteuert, die auf die jeweilige Entnahme anfallen; der größere Rest macht mit dem 'Steuergeschenk' weiter Junge.

    Bin mal gespannt, was so'n alter Mehmet-Fan jetzt postet ;)

  • dass ich hier die Sicherheit habe, dass keine Steuern abgezogen werden.

    ... doch! Der LV-Optimierer hat diese Steuern sogar vorgerechnet... ob der pers. Steuersatz dann allerdings bei nur 25% liegen wird, darf bezweifelt werden ;)

    Man weiß ja nicht, was in den 30 Jahren passiert. Vielleicht ist die Kapitalertragssteuer dann viel höher? oder irgend eine andere wird eingeführt?! Ist bei 30 Jahren ja nicht ganz unwahrscheinlich oder?

    Pack dein Geld in einen Sparstrumpf, damit du es vor der Steuer in Sicherheit bringst ;)

  • Hallo Vilma ,

    grundsätzlich ist die 'Steuerkarte' die Karte auf die ich am Wenigstens setzten würde. Der Staat mag manchmal Jahre oder Jahrzehnte brauchen um Straßen oder Brücken zu bauen, wenn er oder die Sozialkassen aber Geld brauchen, werden bestehende Steuergesetze oft schneller angepasst als man glaubt.;)

    Ich verweise Dich mal auf folgendes Video von Finaztip:

    Rentenversicherung durchgerechnet: Warum sie sich (nicht) lohnt - YouTube

    Wohlgemerkt, wurden hier die günstigste Nettopolice mit ETF einem nackten ETF-Sparplan gegenüber gestellt.

    Du hast bei Deiner Versicherung aber weder die günstigste (Netto)Police, noch die Möglichkeit ETF zu nutzen!

    Dem gegenüber hängt die Karotte vor Deiner Nase, die Auszahlung der Versicherung in 30 Jahren mal steuerfrei zu erhalten.;)

    Lies Dir bitte auch den folgenden Beitrag durch:

    ETF im Versicherungsmantel - was taugt das? | Finanzwesir

    Insbesondere auch den Kommentar von Fabian Müller dazu.

    Ja, der deutsche Michel bekommt immer Schnappatmung, wenn er irgendwo die Worte 'steuern sparen' hört. Ich für meinen Teil würde später lieber einen höheren Steuerbetrag bezahlen, bedeutet das im Umkehrschluss doch, dass ich einen hohen Gewinn gemacht habe!:)

    BTW: Was von den 'Beratern' bei Ihren Berechnungen auch gern vergessen wird ist die TFS von Aktien-Fonds/ETF und die Möglichkeit in der Ansparphase eines ETF den jährlichen Sparerfreibetrag ausnutzen zu können.

    Das verschiebt dann das Ergebnis noch mehr in Richtung ETF-Sparplan.

  • Wenn ich heute rund 30.000 in einen gescheiten ETF auf z.B. MSCI World packe und eine durchschnittliche Rendite von 7% erwarte (6% zum Vergleich in den eckigen Klammern), dann darf ich mit einem Depotwert von rund 228.000 rechnen!

    [bei 6% sind 'nur' ca. 172.000 zu erwarten]

    Ja, ein Direktinvestment macht auch Sinn. Ich persönlich habe beides. Einen Versicherungsmantel und Fonds. Natürlich nehme ich die Kosten für den Mantel in Kauf um die Steuervorteile am Ende zu nutzen. Im Kern geht es mir um aber die Wahlmöglichkeit und Todesfalloption.

    1. Auszahlung

    2. Entnahmeplan

    3. lebenslange Rente

    4. Vererbung im Todesfall

    Wieviel von den anfallenden Gewinnen (Kursgewinnen und ggfs. Dividenden) während der 'Laufzeit' bereits im Rahmen von Steursparoptionen steuerfrei gehalten werden können, hängt vom Einzelfall ab (inwiefern die Steuerfreibeträge bereits andereitig genutzt werden).

    Würde man tatsächlich den Depotwert - was unsinnig und prxisfremd ist - zum 'Ablauf' versteuern, betrüge die Auszahlung rund 145.000 netto.

    Der eher clevere Anleger lässt den Großteil des Kapitals im Depot und entnimmt nur die 'Jahresrenten', die der Entnahmeplan vorsieht. Folglich werden nur die (noch nicht versteurten) Gewinne versteuert, die auf die jeweilige Entnahme anfallen; der größere Rest macht mit dem 'Steuergeschenk' weiter Junge.

    Es kommt halt drauf an, welchen Gesundheitszustand zum gewünschten Auszahlungstermin besteht. Der eine Kunde möchte Geld auf einmal um was zu machen, der andere möchte eine Art Rentenauszahlung. Ein moderner Versicherungsmantel bietet auch die Option auf Entnahmeplan. Aber dann ab 62 mit bekannten steuerlichen Vorteilen in der Entnahme. Der genannte Tarif der Alte Leipziger bietet dieses Optionen. Allerdings ist zu beachten, dass Einzahlung in den letzten 12 Jahren unter Umständen keinen Steuervorteil mehr erhalten.

    Welcher Weg besser für den Kunden ist kann errechnet werden. Bei kleineren Investments gewinnt vermutlich immer direkte Fonds, bei größeren Investment hat der Versicherungsmantels einen Reiz.

  • 2. Entnahmeplan

    Jeder vernünftige selbst gemanagte Entnahmeplan ist den Versicherungslösungen überlegen.

    3. lebenslange Rente

    Lachnummer! Die typischen Versicherungsleute glauben aber, dass man das Langlebigkeitsrisiko absichern müsse.

    Im Kern geht es mir um aber die Wahlmöglichkeit und Todesfalloption.

    Das Todesfallrisiko kann man sehr preiswert separat versichern.

    bei größeren Investment hat der Versicherungsmantels einen Reiz.

    ... was ich nicht nachvollziehen kann. Sorry.

  • Jeder vernünftige selbst gemanagte Entnahmeplan ist den Versicherungslösungen überlegen.

    Lachnummer! Die typischen Versicherungsleute glauben aber, dass man das Langlebigkeitsrisiko absichern müsse.

    Das Todesfallrisiko kann man sehr preiswert separat versichern.

    ... was ich nicht nachvollziehen kann. Sorry.

    Das sind alles keine Argumente, sondern Meinungen. Keine Zeit für Begründungen?

  • Ich kann nur beisteuern, dass mein Allianz Riester und mein Heidelberger Leben Rürup aus der Beratung von MLP nicht gut waren. Erstens brauche ich keine lebenslange Versicherung, die mir zu Rentenzeit 300 Euro brutto ausspuckt, das ist für die meisten Arbeitenden schlicht ein irrelevanter Betrag. Zweitens will ich nicht ein unantastbares Vermögen sowohl beim Riester als auch beim Rürup aufbauen.

    Hier im Forum werden immer wieder Lebensversicherungen besprochen. Bislang kann ich mich an keine erinnern, die ich gerne abgeschlossen hätte. Entweder waren es Kleinstversicherungen oder hochpreisige Varianten, die gegen jeden gesunden Menschenverstand verstoßen haben.

    Ich würde gerne 1000 Euro Netto Rente erhalten, habe noch 25 Jahre Zeit zu sparen, aus meiner Sicht gibt es da im Niedrigzinsumfeld nichts, was man ernsthaft in Erwägung ziehen kann. Da Björn nach einer Rechnung gefragt hat: 375.000 Euro ergeben mit 4% Regel 15.000 Euro Auszahlung, bei 25% Steuern habe ich meine 1000 Euro. Jetzt will ich das Ganze vielleicht etwas sicherer machen, brauche also 500.000 Euro Vermögen in 25 Jahren, rechne mit 5% ETF Rendite, brauche ich 911 Euro Sparrate. Da ich mit Ende 30 nicht bei Null anfange, bin ich entspannt bei einer machbaren Rate.

    Jetzt gibt es natürlich andere Kaliber als mich, die 2000, 3000 Euro Zusatzrente brauchen. Ich wüsste zu gerne, welche Bedingungen die bei einer Lebensversicherung abschließen müssten, um solch eine Rente ausgezahlt zu bekommen. Ich kann nur vermuten, aber ich glaube, die wenigsten werden das in Angriff nehmen.

  • Hallo ihr,

    ok, ich kann eure Argumente nachvollziehen. Und vielleicht beruhigt es euch, dass ich parallel zu dieser alten RV noch einen ETF-Sparplan betreibe. Mehrspurig zu fahren kann hier vielleicht im Sinne einer Risiko-Diversifizierung durchgehen oder nicht?

    Darf ich nochmal um Rat fragen, was die konkrete Fondsauswahl für meine RV angeht?

    Im Eingangspost hatte ich ja zwei Fonds mit einer 75/25 Verteilung vorgeschlagen.

    Erachtet ihr das für sinnvoll, oder mache ich damit einen groben Fehler?

    Vielen Dank für eure Hilfe und die rege Beteiligung!

    Vilma

    PS: zum Thema lebenslange Rente hab ich in Erinnerung, dass mir mein Berater sagte, dass diese dann mit 18% (?) versteuert werden muss. Es kommt am Ende also nur die Einmal-Auszahlung als sinnvolle Alternative in Frage zumindest bei dieser RV.

  • Bjoern Kotzan

    Argumente pro eigenem ETF-Depot wurden z.B. in dem verlinkten Video von FT bereits gebracht.

    Auch die Argumente des Finanzwesirs und dem Kommentar von Fabian Müller im obigen verlinkten Blogbeitrag sprechen nicht unbedingt für eine ETF-basierte Lebensversicherung.

    Wie das konkrete Produkt von Vilma bei der es sich eben nicht um eine Nettopolice oder um günstige ETF, sondern um teure aktive Fonds handelt, unter dem Strich (30 Jahre) besser abschneiden sollte, als eine nackte ETF-Lösung erschließt sich mir nicht! :/

    Bei YT gibt es diverse 'Versicherungsexperten', die in Ihren Videos die vermeintlichen Vorteile einer fondsbasierten Police durchrechnen.

    Nur enthalten die Vergleichsrechnungen gegen ein ETF-Depot teilweise so haarsträubende Fehler, dass ich schon von vorsätzlicher Schönrechnerei zugunsten der Versicherungslösung ausgehe.

    Mehrspurig zu fahren kann hier vielleicht im Sinne einer Risiko-Diversifizierung durchgehen oder nicht?

    ...

    Darf ich nochmal um Rat fragen, was die konkrete Fondsauswahl für meine RV angeht?

    Im Eingangspost hatte ich ja zwei Fonds mit einer 75/25 Verteilung vorgeschlagen.

    Erachtet ihr das für sinnvoll, oder mache ich damit einen groben Fehler?

    Du bist sowohl bei einer DIY ETF-Lösung als auch bei der fondsbasierten Versicherung dem allgemeinen Marktrisiko ausgesetzt.

    Im Prinzip kannst Du ja auch in Deinem privaten Depot die gleichen Produkte besparen wie im Rahmen der Versicherung.

    Wo siehst Du da also die Risiko-Diversifizierung?:/

    Bietet die Lebensversicherung Dir einen Pfändungsschutz , falls Du einmal auf Sozialleistungen angewiesen sein solltest?

    Das Risiko besteht m.E. viel mehr darin, dass Du am Ende mit einer deutlich schlechteren Rendite dastehst.

    Und gegen Risiken kann man sich kostengünstig mit einer Risikopolice absichern.

    PS: Ich habe keine Lust mir die Fonds im Einzelnen anzusehen. Der genannte Kaldemorgen hat mir schon gereicht! Sorry, aber ein solch defensives Produkt bei einer Laufzeit von noch 30 Jahren!<X

  • Ich kann nur beisteuern, dass mein Allianz Riester und mein Heidelberger Leben Rürup aus der Beratung von MLP nicht gut waren. Erstens brauche ich keine lebenslange Versicherung, die mir zu Rentenzeit 300 Euro brutto ausspuckt, das ist für die meisten Arbeitenden schlicht ein irrelevanter Betrag. Zweitens will ich nicht ein unantastbares Vermögen sowohl beim Riester als auch beim Rürup aufbauen.

    Es gibt durchaus interessante Riester - Verträge. Aber das ist hier ja kein Thema. Dazu ist die Allianz im Riester-Bereich nie gut und die Heidelberger Leben ist eine der teuersten Lebensversicherungen überhaupt. Sie wurde bestimmt von den Kollegen von MLP beraten.

    Ich würde gerne 1000 Euro Netto Rente erhalten, habe noch 25 Jahre Zeit zu sparen, aus meiner Sicht gibt es da im Niedrigzinsumfeld nichts, was man ernsthaft in Erwägung ziehen kann. Da Björn nach einer Rechnung gefragt hat: 375.000 Euro ergeben mit 4% Regel 15.000 Euro Auszahlung, bei 25% Steuern habe ich meine 1000 Euro. Jetzt will ich das Ganze vielleicht etwas sicherer machen, brauche also 500.000 Euro Vermögen in 25 Jahren, rechne mit 5% ETF Rendite, brauche ich 911 Euro Sparrate. Da ich mit Ende 30 nicht bei Null anfange, bin ich entspannt bei einer machbaren Rate.

    Das Beispiel lässt keine genaue steuerliche Berechnung zu. Es stellt sich die Frage wann zu welchen Kurs gekauft wurde. Pauschal lässt sich bei 10.000 Euro Gewinn realisiert durch Entnahme folgendes feststellen:

    • Aus dem Depot werden Gewinne mit 25% Steuern (abzüglich Freibeträge) abgeführt.
      • (10.000 Gewinn - Freibetrag 801) * 25% = 2.299,75
    • Aus dem Versicherungsmantel werden (ab 62 Jahren) 50% der Gewinne mit dem persönlichen Steuersatz (30%) abgeführt.
      • 5000 Gewinn *30% = 1.500 Euro.

    Die Frage ist halt, welche Vertragsart mehr Volumen aufbaut. Beim Volumenaufbau ist die Frage, wie gut die Nerven sind. Das heißt, bleibst Du lebenslang in einem Aktienfonds oder schichtest du auch mal was um. Gibt es eventuell mehre Fonds?

    Je nachdem was Du machst fallen unterschiedlich Steuern an.

    Ich muss auch gleich dazu sagen: es gibt sicher nur zwei bis drei Versicherungsmäntel, die mit dem Direktinvestment konkurrieren können im Aufbau.

    Es gibt aber noch andere Parameter die für eine Versicherung sprechen: zB eine Beitragsbefreiung bei BU ohne Prüfung der Gesundheit. Oder eine Basisrente wenn steuerlich Vorteile die Einzahlungen verringern sollten.

    Reich werden wollen halt alle. Bis 67 arbeiten schaffen aber nicht alle.

  • Darf ich nochmal um Rat fragen, was die konkrete Fondsauswahl für meine RV angeht?

    Im Eingangspost hatte ich ja zwei Fonds mit einer 75/25 Verteilung vorgeschlagen.

    Erachtet ihr das für sinnvoll, oder mache ich damit einen groben Fehler?

    Wie monstermania schon sagte: Die Fonds sind alle mehr oder weniger Müll.

    PS: Ich habe keine Lust mir die Fonds im Einzelnen anzusehen. Der genannte Kaldemorgen hat mir schon gereicht! Sorry, aber ein solch defensives Produkt bei einer Laufzeit von noch 30 Jahren!<X

    Du tust tatsächlich gut daran und den Vertrag zu beenden und neu aufzusetzen. Direkt in Fonds oder als Versicherungsmantel.

    Das von mir genannte Produkt der Alte Leipziger habe ich hier beschrieben: [Der Link wurde von der Moderation entfernt]

  • Bjoern Kotzan

    Du bist ja erst seit kurzem hier aktiv und ich weiß nicht, ob du Interesse hast mit uns tiefer einzusteigen, das heißt hier ein paar extra Minuten zu investieren. Ein Kollege von dir Herr Schlemann ist hier äußerst aktiv, was ihm sicher beruflich eher zu Gute kommt. ;)

    Kannst du mal ein echtes (!) Beispiel posten von einem Angebot, bei dem die Versicherungslösung der ETF Lösung überlegen ist? Einfach ein Angebot, das du aus deinen Tools rausziehst. Das wäre sicher mal interessant für uns. Wir sehen hier immer nur die Negativbeispiele.

    • Aus dem Depot werden Gewinne mit 25% Steuern (abzüglich Freibeträge) abgeführt.
      • (10.000 Gewinn - Freibetrag 801) * 25% = 2.299,75

    Das stimmt so pauschal eben nicht!

    Bei einem Aktien ETF wie einem MSCI World ETF gilt eine Teilfreistellung von 30%.

    Macht also 'nur' 7000 Gewinn der versteuert werden muss - Freibetrag 801) * 26,375% (es fällt auch noch Soli an!). = 1635€

    Da wir die Luft zum ETF im Versicherungsmantel dann schon ganz schön dünn. Schließlich musst Du mit Deiner ETF-Nettopolice nach allen Kosten erstmal die Renditen eines 'nackten' ETF-Depot erreichen.:/

    Wenn Du jetzt noch jedes Jahr die 801€ Freibetrag in der Ansparphase des Depots berücksichtigst, sieht es für das DIY-ETF-Depot noch besser aus!

    BTW: Wenn Du in der späteren Entnahmephase aus dem Depot einen Steuersatz < 26,375% hast, zahlst Du auch nur diesen geringeren Steuersatz auf Kapitalerträge (Günstigerprüfung).

    Und wie bereits mehrfach geschrieben: In diesem konkreten Fall geht es überhaupt nicht um eine ETF-Nettopolice, sondern um eine 'teure' fondsbasierte Lebensversicherung.

    Reich werden wollen halt alle. Bis 67 arbeiten schaffen aber nicht alle.

    Ich will gar nicht bis 67 arbeiten. Völlig unabhängig davon, ob ich könnte. ;)

    Und Reich werden will ich auch nicht.

    Nicht Arm sterben reicht mir vollkommen aus! :)

    Kannst du mal ein echtes (!) Beispiel posten von einem Angebot, bei dem die Versicherungslösung der ETF Lösung überlegen ist?

    Daran hätte ich auch mal Interesse! :)

  • Kannst du mal ein echtes (!) Beispiel posten von einem Angebot, bei dem die Versicherungslösung der ETF Lösung überlegen ist? Einfach ein Angebot, das du aus deinen Tools rausziehst. Das wäre sicher mal interessant für uns. Wir sehen hier immer nur die Negativbeispiele.

    Klar wir können gerne diskutieren. Wobei alles ein wenig theoretisch bleibt. Jeder Kunde legt anders an.

    Parameter:

    • Eintrittsalter 50 Jahre
    • 100.000 Euro Anlagesumme
    • Fondsportfortfolio 80% Aktien, 20 % Renten
      • Teilfreistellung ca. 24%
        • Aktien 1 - Thesaurierend - Anteil 20% -Teilfreistellung 30%
        • Aktien 2 - Ausschüttend - 60% - 30%
        • Renten 1 Thesaurierend 5%- 0 %
        • Renten 2 Ausschüttend - 5& - 0%
    • Kursgewinne 4% pa
    • Zins/ Dividende 2% pa
    • Gesamtrendite 6% pa
    • Jährlich 10% Umschichtung

    Kosten:

    • Depot: grundsätzlich keine Kosten
    • Versicherungsmantel: 60 Euro Stückkosten, 0,45% Volumenkosten

    Steuer:

    • 25% Abgeltung
    • 5,5% Soli
    • 9% Kirche
    • 35% Steuersatz
    • Basiszinsatz1,1
    • Freibeträge 400k
    • Steuerklasse 1

    Ich lasse mich gerne korrigieren, aber in diesem Fall ist der Versicherungsmantel ab dem 5 Jahr im Vorteil.